Publicação Contínua
Qualis Capes Quadriênio 2017-2020 - B1 em medicina I, II e III, saúde coletiva
Versão on-line ISSN: 1806-9804
Versão impressa ISSN: 1519-3829

Todo o conteúdo do periódico, exceto onde está identificado, está licenciado sob uma

Licença Creative Commons

ARTIGOS ORIGINAIS


Acesso aberto Revisado por pares
0
Visualização

Amamentação na primeira hora: associações com duração da amamentação exclusiva e alimentação complementar

Cátia Regina Ficagna1; Vanessa Machado Menezes2; Daniela Cortés Kretzer3; Paula Ruffoni Moreira4; Marcelo Zubaran Goldani5; Clécio Homrich da Silva6; Juliana Rombaldi Bernardi7

DOI: 10.1590/1806-9304202500000367 e20230367

RESUMO

OBJETIVOS: analisar a relação entre a amamentação na primeira hora de vida e a duração da amamentação exclusiva e continuada, bem como seu impacto na alimentação complementar.
MÉTODOS: estudo longitudinal com pares mãe-filho recrutados em dois hospitais públicos (2011–2016), com acompanhamento aos seis meses e entre três a cinco anos. As comparações de amamentação exclusiva, amamentação continuada e alimentação complementar foram realizadas utilizando o teste log-rank, curvas de Kaplan-Meier e o teste de Mann-Whitney.
RESULTADOS: um total de 352 bebês foi acompanhado, dos quais 198 (56,25%) foram amamentados na primeira hora de vida. A amamentação na primeira hora de vida foi associada à amamentação exclusiva aos dois meses (p=0,024), mas não com a amamentação continuada até um ano (p=0,183). A probabilidade de oferecer sal, açúcar e mel durante a alimentação complementar foi maior entre as crianças que não foram amamentadas na primeira hora de vida (p=0,035). No entanto, não houve diferença significativa na introdução de alimentos ultraprocessados (p=0,263), processados (p=0,162), e in natura (p=0,900).
CONCLUSÃO: a amamentação na primeira hora de vida foi associada à duração da amamentação exclusiva aos dois meses e a uma menor probabilidade de oferecer sal, açúcar e mel durante a alimentação complementar.

Palavras-chave: Amamentação, Nutrição infantil, Fenômenos fisiológicos nutricionais do lactente, Leite humano, Recém-nascido

ABSTRACT

OBJECTIVES: to analyze the relationship between breastfeeding within the first hour of life and the duration of exclusive and continued breastfeeding, as well as its impact on complementary feeding.
METHODS: a longitudinal study of mother-child pairs recruited from two public hospitals (2011-2016), with follow-up at six months and between three and five years. Comparisons of exclusive breastfeeding, continued breastfeeding, and complementary feeding were performed using the log-rank test, Kaplan-Meier curves, and Mann-Whitney test.
RESULTS: a total of 352 infants were followed, of whom 198 (56.25%) were breastfed within the first hour. Breastfeeding within the first hour was associated with exclusive breastfeeding at two months (p=0.024) but not with continued breastfeeding at one year (p=0.183). The probability of offering salt, sugar, and honey during complementary feeding was lower among children who were breastfeeding within the first hour (p=0.035). However, no significant difference was found in the introduction of ultra-processed (p=0.263), processed (p=0.162), and in natura (p=0.900) foods.
CONCLUSION: breastfeeding within the first hour was associated with exclusive breastfeeding at two months and lower probability of offering salt, sugar, and honey during complementary feeding.

Keywords: Breastfeeding, Child nutrition, Infant nutritional physiological phenomena, Human milk, Newborn

Introdução
A amamentação na primeira hora de vida, conhecida como a 'hora dourada', é recomendada pela Organização Mundial da Saúde (OMS) devido a evidências que sugerem que essa prática pode reduzir a mortalidade neonatal e está positivamente associada à duração da amamentação (AM), incluindo o aleitamento materno exclusivo (AME).13 Além disso, a iniciação precoce da sucção estimula a produção de ocitocina e prolactina pela glândula pituitária da mãe, aumentando a produção e a liberação de leite, além de proporcionar benefícios imunológicos e psicossociais para o bebê, fortalecendo o vínculo entre mãe e filho. Essa prática também aumenta a probabilidade de o bebê receber o colostro, que é altamente nutritivo, de fácil digestão, rico em propriedades imunológicas e essencial para a maturação da mucosa intestinal.⁴
Estudos recentes também exploraram a relação entre a amamentação na primeira hora de vida e a duração tanto do AME quanto da AM continuada.⁵,⁶ Um estudo de coorte revelou que crianças amamentadas na primeira hora de vida consumiram significativamente menos doces, indicando um possível papel protetor da amamentação precoce nos hábitos alimentares posteriores.⁵
A qualidade dos alimentos introduzidos durante a alimentação complementar (AC) é crucial, pois está associada ao estado nutricional e à prevenção de sobrepeso, obesidade e outras doenças tanto a curto quanto a longo prazo.⁷,⁸ A introdução precoce de alimentos ultraprocessados tende a aumentar o consumo desses alimentos ao longo da infância.⁹
Embora haja evidências crescentes de que a amamentação na primeira hora de vida oferece benefícios para a duração do AME e da AM continuada, o impacto da amamentação precoce na AC permanece uma lacuna de conhecimento. Enquanto alguns estudos recentes sugerem efeitos positivos, são necessárias mais pesquisas para solidificar essa compreensão. Portanto, o objetivo deste estudo foi analisar a associação entre a amamentação na primeira hora de vida, a duração do AME, da AM continuada e a qualidade dos alimentos introduzidos durante a AC.

Métodos
Este é um estudo observacional longitudinal da coorte de nascimento "Impacto das Variações do Ambiente Perinatal na Saúde da Criança nos Primeiros Cinco Anos de Vida" (IVAPSA – sigla em português), fases 1 e 2. Na fase 1, mães e bebês foram recrutados entre 2011 e 2016 em dois hospitais públicos de alta complexidade em Porto Alegre, Rio Grande do Sul, Brasil. Na fase 2, as mesmas crianças foram avaliadas entre 2017 e 2019 na mesma cidade. O protocolo do estudo e os resultados iniciais já foram publicados.1,11
As crianças elegíveis nasceram a termo no GHC (Grupo Hospitalar Conceição) e no HCPA (Hospital de Clínicas de Porto Alegre), sem malformações congênitas ou outras doenças. Mulheres com teste positivo para HIV, gravidez múltipla, diabetes tipo 1 ou 2 (independentemente do período de diagnóstico), hipertensão arterial sistêmica, tabagistas ou que tiveram parto prematuro (<37 semanas) foram excluídas, assim como bebês com doenças agudas, defeitos congênitos ou pequenos para a idade gestacional. Todas as mães e bebês estavam juntos na maternidade no momento do recrutamento, sem riscos de saúde identificados. Bebês que perderam o seguimento nas fases 1 ou 2 também foram excluídos.
Os dados sobre AME, AM e AC foram coletados prospectivamente na fase 1, entre 24 e 48 horas pós-parto na maternidade, seguidos de entrevistas realizadas em visitas domiciliares aos 7, 15 e 90 dias. Entrevistas foram realizadas em casa ou no centro de pesquisa clínica localizado no HCPA aos 30 e 180 dias do período pós-parto. Na fase 2, os dados retrospectivos foram coletados por meio de entrevistas e avaliações no Centro de Pesquisa Clínica do HCPA, em Porto Alegre, Rio Grande do Sul, Brasil.
Dados sociodemográficos (idade materna, raça/cor, escolaridade, ocupação, estado civil, renda familiar e sexo da criança) foram obtidos por meio de questionários administrados no pós-parto nos hospitais participantes.
Os recém-nascidos foram divididos em dois grupos: Grupo 1: crianças amamentadas dentro de 60 minutos após o nascimento; Grupo 2: crianças amamentadas somente após 60 minutos. Os recém-nascidos foram considerados amamentados na primeira hora de vida se receberam qualquer quantidade de leite materno dentro de 60 minutos após o nascimento.12 Para avaliar a duração do AME, alimentação mista (AM), uso de fórmula infantil e AC, foram feitas perguntas como: "A criança recebeu algum outro alimento ou líquido?", "Quando sólidos ou líquidos foram introduzidos?" e "Se não está mais amamentando, quando parou?". Aos 15, 30, 90 e 180 dias, as perguntas incluíram se a criança "recebe leite materno", "se não, quando parou", "recebe leite materno exclusivamente" e "recebe ou recebeu outros tipos de leite" e, em caso afirmativo, "quando foi introduzido". Um questionário foi usado para reunir dados sobre a introdução de líquidos e alimentos sólidos. As mães foram questionadas sobre a introdução de açúcar, chocolate, mel, café, frutas, papinha, sopa industrializada, vegetais, leguminosas, carne, ovos, embutidos, biscoitos recheados, doces, snacks, gelatina, sorvete, frituras, refrigerantes, suco natural, iogurte e suco artificial.13
Os alimentos líquidos e sólidos introduzidos durante a AC foram categorizados de acordo com a classificação NOVA, conforme orientado pelo Guia Alimentar para a População Brasileira.12 Alimentos ultraprocessados incluíram achocolatados, balas, pirulitos, biscoitos doces (com ou sem recheio), chocolates, bombons, embutidos, gelatinas, petit suisse, refrigerantes, snacks salgados e sucos artificiais. Alimentos in natura ou minimamente processados incluíram suco natural, ovos, miúdos, leguminosas, frutas e carnes. Ingredientes culinários foram categorizados como açúcar, sal e mel, enquanto alimentos processados incluíram iogurte, enlatados e frituras.
As variáveis contínuas paramétricas foram expressas em média ± desvio padrão (DP). Variáveis contínuas não paramétricas foram expressas em mediana e intervalo interquartil. Variáveis categóricas foram expressas em números absolutos e percentuais. Para comparar as amostras, foi utilizado o teste do qui-quadrado para variáveis categóricas e o teste de Mann-Whitney para variáveis contínuas não paramétricas. Para a análise do tempo de aleitamento materno exclusivo, aleitamento materno e sua relação com a introdução de alimentos complementares, foram utilizados o teste log-rank e curvas de Kaplan-Meier. Para as análises, foi considerado um nível de significância de 5% (p<0,05) e intervalo de confiança de 95%. Os dados foram analisados com o programa estatístico Statistical Package for the Social Sciences (SPSS), versão 21.0.
A pesquisa foi aprovada pelos comitês de ética em pesquisa do HCPA e do GHC, respectivamente, sob os números 20110097 e 2011027 (Fase 1) e 20170107 (Fase 2).

Resultados
O estudo incluiu 352 pares mãe-bebê, com 198 bebês (56,25%) amamentados na primeira hora de vida (Grupo 1) e 154 bebês (43,75%) amamentados após a primeira hora (Grupo 2). Mulheres brancas foram a maioria em ambos os grupos, representando 60% da amostra, sem diferença significativa na raça autodeclarada entre os grupos (p=0,496). A idade materna média foi de 26,3 ± 6,6 anos, e a média de anos de escolaridade foi de 9 ± 2 em ambos os grupos (p=0,051). A amamentação na primeira hora foi associada ao parto vaginal (p=0,001) e a um maior número de filhos (p=0,004). Além disso, um maior número de consultas pré-natais foi associado a não amamentar na primeira hora de vida (p=0,017) (Tabela 1).
 


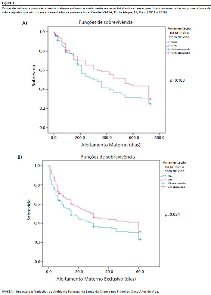
Não houve diferença significativa entre os bebês amamentados na primeira hora e os bebês amamentados após a primeira hora em relação ao tempo de AME (p=0,082) e ao tempo de AM (p=0,370) (Tabela 2). A Figura 1 apresenta as curvas de sobrevivência para AM e AME, indicando diferenças entre as crianças amamentadas na primeira hora e aquelas amamentadas posteriormente. A amamentação na primeira hora de vida foi associada ao aleitamento materno exclusivo aos 2 meses (p=0,024), mas não ao aleitamento continuado ao longo de 1 ano (p=0,183) (Figuras 1A e 1B).
 



 


A probabilidade de introdução de alimentos complementares, com base no nível de processamento (ultraprocessados, processados, in natura e ingredientes culinários), está apresentada na Tabela 3. A probabilidade de introdução de ingredientes culinários foi maior entre as crianças que não foram amamentadas na primeira hora (p=0,035). A introdução de outros grupos alimentares não foi associada à amamentação na primeira hora. A Figura 2 mostra as curvas de sobrevivência para a introdução de alimentos complementares de acordo com o nível de processamento. Crianças que não foram amamentadas na primeira hora apresentaram maior probabilidade de introdução precoce de ingredientes culinários (p=0,037) (Figura 2B).
 



 



Discussão
Neste estudo, a amamentação na primeira hora de vida foi associada ao AME aos dois meses e a uma menor probabilidade de introdução de ingredientes culinários, como sal, açúcar e mel, durante a AC. A amamentação na primeira hora de vida também foi associada à paridade materna; mães com mais filhos tinham maior probabilidade de amamentar na primeira hora. Além disso, o parto vaginal e o número de consultas pré-natais também mostraram associação com a prática de amamentação na primeira hora de vida.
Os resultados revelaram, ainda, um declínio na amamentação e no AME durante o primeiro ano de vida. Apesar da recomendação de AME por seis meses, avaliamos essa prática aos dois meses, pois dados do ENANI indicam que essa é uma idade crítica para a interrupção do AME. A probabilidade de introduzir ingredientes culinários durante a AC foi maior entre crianças que não foram amamentadas na primeira hora. Outros estudos corroboram esse resultado, mostrando o papel protetor da amamentação precoce em práticas alimentares mais saudáveis.3⁻⁵
O parto vaginal foi identificado como um fator protetor para a amamentação na primeira hora de vida, assim como maior paridade materna. Esses achados estão alinhados com estudos internacionais que também associam o parto vaginal à amamentação precoce.1,1⁶ Mulheres que passam por cesáreas podem enfrentar dor e estresse no período pós-parto, além de maior probabilidade de síndrome do desconforto respiratório nos recém-nascidos.1,1⁸ Esses fatores podem prejudicar o início da amamentação na primeira hora de vida. Dessa forma, sugere-se a adesão a políticas de promoção e proteção do aleitamento materno, com ênfase na importância da equipe multidisciplinar e no trabalho colaborativo para garantir um atendimento de qualidade à díade mãe-bebê na primeira hora após o nascimento.
A prevalência-alvo para a amamentação na primeira hora de vida, segundo a OMS, é de 70%.13 Neste estudo, mais da metade das crianças foram amamentadas na primeira hora. Prevalências semelhantes foram reportadas em outros estudos (43,5%; 74%).1⁸⁻2⁰ Isso destaca que ainda estamos longe das metas da OMS e sublinha a necessidade de campanhas de conscientização e educação em comunidades e unidades de saúde. A OMS recomenda que a amamentação na primeira hora de vida seja protegida e incentivada.21 Para promover essa prática, é fundamental também estimular o parto vaginal, que tem sido associado a maiores taxas de amamentação precoce. Um estudo na Tanzânia, por exemplo, mostrou um aumento de 51% para 74% na amamentação precoce após a educação de gestantes sobre a importância do colostro e do AME.22
Neste estudo, observou-se que mulheres que não amamentaram na primeira hora realizaram um maior número de consultas pré-natais. Embora os dados não permitam determinar a causa dessa associação, fatores como complicações gestacionais, maior adesão ao acompanhamento médico ou diferenças no acesso aos serviços de saúde podem ter influenciado esse achado. Essa relação reforça a necessidade de mais estudos para investigar os possíveis motivos que impactam o início da amamentação na primeira hora de vida. Outros estudos mostram que o acesso à informação é crucial para o sucesso da amamentação.22,23 Assim, é essencial proteger e promover o aleitamento materno, garantindo orientação e suporte durante o pré-natal por todos os profissionais de saúde envolvidos.
A amamentação na primeira hora de vida foi associada ao AME aos dois meses. A maioria dos casos de desmame precoce ou interrupção da amamentação ocorre nos primeiros 90 dias após o nascimento, especialmente no segundo mês de vida da criança. Esse achado destaca o papel protetor da amamentação precoce para prevenir o desmame nesse período crítico. Embora desempenhe um papel protetor, a amamentação precoce não é o único fator que influencia a duração do aleitamento. Outras variáveis, como peso ao nascer, idade gestacional, tabagismo materno e escolaridade, também desempenham papeis significativos nos desfechos do aleitamento materno.2⁴⁻2
A amamentação na primeira hora de vida não foi associada a uma maior duração do aleitamento ao longo do primeiro ano de vida. Em ambos os grupos – amamentados ou não na primeira hora – foi observado um declínio significativo nas taxas de amamentação. Fatores socioeconômicos, como emprego e renda materna, podem contribuir para essa interrupção precoce. Neste estudo, as mães foram recrutadas em hospitais públicos, sendo a maioria de baixa renda. É provável que os fatores socioeconômicos tenham influenciado o declínio nas taxas de amamentação.
A amamentação na primeira hora de vida foi associada a uma menor probabilidade de introdução de ingredientes culinários, como açúcar, sal e mel, durante a AC. Um estudo semelhante demonstrou uma introdução precoce de líquidos, mel, açúcar e doces, além de um consumo significativamente menor de doces entre crianças amamentadas na primeira hora de vida.⁵ Embora existam evidências limitadas sobre o papel protetor da amamentação precoce contra práticas inadequadas na AC, os benefícios da amamentação precoce provavelmente se estendem à AC. Além disso, as condições socioeconômicas maternas também podem influenciar a oferta ou omissão desse tipo de alimento.
A literatura mostra que maiores durações de AME e AM estão associadas a padrões alimentares mais saudáveis na infância, incluindo maior consumo de alimentos saudáveis e melhor aceitação e variedade de frutas, verduras e legumes.2⁷⁻2⁹ Por outro lado, períodos mais curtos de amamentação estão associados a maior introdução de alimentos ultraprocessados no primeiro ano de vida, além de maiores taxas de introdução precoce de mel, açúcar e doces.⁵,⁶ Segundo a OMS, a amamentação na primeira hora de vida está diretamente relacionada ao sucesso do aleitamento durante o primeiro ano.12 Além disso, a prática está associada a uma colonização mais rápida da microbiota infantil, ao melhor desenvolvimento dos reflexos de sucção e pega, ao fortalecimento do vínculo mãe-bebê, ao melhor controle glicêmico e à redução da incidência de infecções respiratórias e síndrome da morte súbita infantil.30
Este estudo apresentou algumas limitações. Uma das principais foi que as informações sobre amamentação ao longo de 1 ano e AC foram autorrelatadas pela mãe de forma retrospectiva, o que pode introduzir viés de recordação. No entanto, o AME foi avaliado prospectivamente, mitigando essa preocupação para esse desfecho. Outra limitação é que a amostra foi recrutada em um hospital público de alta complexidade que atende principalmente gestantes de alto risco, o que pode refletir em menores taxas de amamentação na primeira hora de vida.
Por outro lado, é importante destacar os pontos fortes deste estudo. Entre os aspectos positivos estão o delineamento longitudinal e o acompanhamento detalhado das crianças durante períodos críticos, como o puerpério, os meses após o nascimento e a primeira infância, fornecendo insights valiosos sobre a amamentação e a introdução de alimentos complementares.
Os achados deste estudo demonstraram que a amamentação na primeira hora de vida foi associada ao AME aos dois meses e a uma menor probabilidade de introdução de ingredientes culinários, como açúcar, sal e mel, durante a AC. Esses resultados reforçam os benefícios da amamentação precoce tanto para o AME quanto para a AC. Estudos longitudinais adicionais são necessários para explorar essa relação em outras populações.

Referências
1. World Health Organization (WHO). 3 in 5 babies not breastfed in the first hour of life. [Internet]. Geneva: WHO; 2018. [acesso em 2023 Abr 6]. Disponível em: https://www.who.int/news/item/31-07-2018-3-in-5-babies-not-breastfed-in-the-first-hour-of-life
2. Braga VS, Vítolo MR, Kramer PF, Feldens EG, Feldens CA. Breastfeeding in the First Hours of Life Protects Against Pacifier Use: A Birth Cohort Study. Breastfeeding Med. 2020 Aug 1; 15 (8): 516-21.
3. Belo MNM, Azevedo PTÁCC, Belo MPM, Serva VMSBD, Batista Filho M, Figueiroa JN, et al. Aleitamento materno na primeira hora de vida em um Hospital Amigo da Criança: prevalência, fatores associados e razões para sua não ocorrência. Rev Bras Saúde Mater Infant. 2014 Mar; 14 (1): 65-72.
4. Lucchese I, Góes FGB, Soares IAA, Goulart MCL, Silva ACSS, Pereira-Ávila FMV. Amamentação na primeira hora de vida em município do interior do Rio de Janeiro: fatores associados. Esc Anna Nery. 2023; 27: e20220346.
5. Feldens CA, Vítolo MR, Maciel RR, Baratto PS, Rodrigues PH, Kramer PF. Exploring the risk factors for early-life sugar consumption: A birth cohort study. Int J Paediatr Dent. 2021 Mar 15; 31 (2): 223-30.
6. Porto JP, Bezerra VM, Pereira Netto M, Rocha DS. Aleitamento materno exclusivo e introdução de alimentos ultraprocessados no primeiro ano de vida: estudo de coorte no sudoeste da Bahia, 2018. Epidemiol Serv Saúde. 2021; 30 (2): e2020614.
7. Rousham EK, Goudet S, Markey O, Griffiths P, Boxer B, Carroll C, et al. Unhealthy Food and Beverage Consumption in Children and Risk of Overweight and Obesity: A Systematic Review and Meta-Analysis. Adv Nutr. 2022 Oct; 13 (5): 1669-96.
8. Ribas SA, Rodrigues MCC, Mocellin MC, Marques ES, Rosa GPC, Maganha CR. Quality of complementary feeding and its effect on nutritional status in preterm infants: a cross-sectional study. J Hum Nutr Diet. 2021 Feb 26; 34 (1): 3-12.
9. Andrade EDO, Rebouças AS, Filho JQ, Ambikapathi R, Caulfield LE, Lima AÂM, et al. Evolution of infant feeding practices in children from 9 to 24 months, considering complementary feeding indicators and food processing: Results from the Brazilian cohort of the MAL-ED study. Matern Child Nutr. 2022 Oct 15; 18 (4): e13413.
10. Bernardi JR, Ferreira CF, Nunes M, Silva CH, Bosa VL, Silveira PP, et al. Impact of perinatal different intrauterine environments on child growth and development in the first six months of life - IVAPSA birth cohort: rationale, design, and methods. BMC Pregnancy Childbirth. 2012 Dec 2; 12 (1): 25.
11. Werlang ICR, Bernardi JR, Nunes M, Marcelino TB, Bosa VL, Michalowski MB, et al. Impact of Perinatal Different Intrauterine Environments on Child Growth and Development: Planning and Baseline Data for a Cohort Study. JMIR Res Protoc. 2019 Nov 12; 8 (11): e12970.
12. Ministério da Saúde (BR). Secretaria de Atenção à Saúde. Departamento de Atenção Básica. Guia Alimentar para a População Brasileira. Brasília (DF): Ministério da Saúde; 2014. [acesso em 2023 Abr 6]. Disponível em: https://bvsms.saude.gov.br/bvs/publicacoes/guia_alimentar_populacao_brasileira_2ed.pdf
13. Monteiro CA, Cannon G, Levy R, Moubarac JC, Jaime P, Martins AP, et al. NOVA. A estrela brilha. World Nutr. 2016; 7 (1–3): 28-38.
14. Alves-Santos NH, Castro IRR, Anjos LA, Lacerda EMA, Normando P, Freitas MB, et al. General methodological aspects in the Brazilian National Survey on Child Nutrition (ENANI-2019): a population-based household survey. Cad Saúde Pública. 2021; 37: e00300020.
15. Setegn T, Gerbaba M, Belachew T. Determinants of timely initiation of breastfeeding among mothers in Goba Woreda, South East Ethiopia: A cross sectional study. BMC Public Health. 2011 Dec 8; 11 (1): 217.
16. Vaz JS, Gatica-Domínguez G, Neves PAR, Vidaletti LP, Barros AJD. Early initiation of breastfeeding is inversely associated with public and private c-sections in 73 lower- and middle-income countries. Sci Rep. 2022 Dec 6; 12 (1): 21081.
17. Aguayo VM, Gupta G, Singh G, Kumar R. Early initiation of breast feeding on the rise in India. BMJ Glob Health. 2016 Sep 21; 1 (2): e000043.
18. Komatsu R, Ando K, Flood PD. Factors associated with persistent pain after childbirth: a narrative review. Br J Anaesth. 2020 Mar; 124 (3): e117–30.
19. Lyellu HY, Hussein TH, Wandel M, Stray-Pedersen B, Mgongo M, Msuya SE. Prevalence and factors associated with early initiation of breastfeeding among women in Moshi municipal, northern Tanzania. BMC Pregnancy Childbirth. 2020 Dec 11; 20 (1): 285.
20. Mgongo M, Hashim TH, Uriyo JG, Damian JD, Stray-Pedersen B, Msuya SE. Determinants of Exclusive Breastfeeding in Kilimanjaro Region, Tanzania. Sci J Public Health. 2014 Nov; 2 (6): 631–5.
21. Hashim TH, Mgongo M, Uriyo JG, Damian DJ, Stray-Pedersen B, Msuya SE. Exclusive Breastfeeding up to Six Months is Very Rare in Tanzania: A Cohort Study of Infant Feeding Practices in Kilimanjaro Area. Sci J Public Health. 2015; 3 (2): 251-8.
22. Hashim TH, Mgongo M, Katanga J, Uriyo JG, Damian DJ, Stray-Pedersen B, et al. Predictors of appropriate breastfeeding knowledge among pregnant women in Moshi Urban, Tanzania: a cross-sectional study. Int Breastfeed J. 2016 Dec 14; 12 (1): 11.
23. Tewabe T. Timely initiation of breastfeeding and associated factors among mothers in Motta town, East Gojjam zone, Amhara regional state, Ethiopia, 2015: a cross-sectional study. BMC Pregnancy Childbirth. 2016 Dec 19; 16 (1): 314.
24. Condò V, Cipriani S, Colnaghi M, Bellù R, Zanini R, Bulfoni C, et al. Neonatal respiratory distress syndrome: are risk factors the same in preterm and term infants? J Matern Fetal Neonatal Med. 2017 Jun; 30 (11): 1267-72.
25. Eilers MA, Hendrick CE, Pérez-Escamilla R, Powers DA, Potter JE. Breastfeeding Initiation, Duration, and Supplementation Among Mexican-Origin Women in Texas. Pediatrics. 2020 Apr 1; 145 (4): e20192742.
26. Lechosa-Muñiz C, Paz-Zulueta M, Sota SM, Adana Herrero MS, del Rio EC, Llorca J, et al. Factors associated with duration of breastfeeding in Spain: a cohort study. Int Breastfeed J. 2020 Dec 9; 15 (1): 79.
27.Oliveira DS, Boccolini CS, Faerstein E, Verly-Jr E. Breastfeeding duration and associated factors between 1960 and 2000. J Pediatr (Rio J). 2017 Mar; 93 (2): 130-5.
28.Armstrong J, Abraham EC, Squair M, Brogan Y, Merewood A. Exclusive Breastfeeding, Complementary Feeding, and Food Choices in UK Infants. J Hum Lact. 2014 May 20; 30 (2): 201-8.
29. Perrine CG, Galuska DA, Thompson FE, Scanlon KS. Breastfeeding Duration Is Associated With Child Diet at 6 Years. Pediatrics. 2014 Sep; 134 (Suppl. 1): S50–5.
30.Soldateli B, Vigo A, Giugliani ERJ. Effect of Pattern and Duration of Breastfeeding on the Consumption of Fruits and Vegetables among Preschool Children. PLoS One. 2016 Feb 4; 11 (2): e0148357.
Agradecimentos: Gostaríamos de agradecer à Coordenação de Aperfeiçoamento de Pessoal de Nível Superior (CAPES), ao Conselho Nacional de Desenvolvimento Científico e Tecnológico (CNPq) e ao Hospital de Clínicas de Porto Alegre/Fundo de Incentivo à Pesquisa e Eventos (FIPE) pelo apoio financeiro.

Contribuição dos autores: Ficagna CR, Menezes VM, Kretzer DC, Moreira PR, : análise de dados, revisão de literatura, escrita e revisão do manuscrito.
Goldani MZ, Silva CH, Bernardi JR: coordenador da pesquisa, análise de dados, revisão do manuscrito. Todos os autores aprovaram a versão final do artigo e declaram não haver conflito de interesses.

Recebido em 29 de Novembro de 2023
Versão final apresentada em 6 de Dezembro de 2024
Aprovado em 10 de Dezembro de 2024

Editor Associado: Gabriela Buccini

Copyright © 2026 Revista Brasileira de Saúde Materno Infantil Todos os direitos reservados.

Desenvolvido por: